【优选算法】Pointer-Slice:双指针的算法切片(上)
概念解析
🚩什么是双指针算法?
双指针算法使用两个索引来遍历数据结构,可以根据问题的要求,以不同的方式移动,如同向移动、相向移动或快慢不同的速度移动
移动零
✏️题目描述:
✏️示例:
传送门:移动零
题解:
💻第一步:
有两个索引 dest 和 cur
• dest 表示在已处理的区间内,非零元素的最后一个位置
• cur 表示从左往右扫描数组遍历数组
把整个区间划分为三个部分,从前往后分别是非零区间,0区间,待处理区间
💻第二步:
根据题意我们要把 0 都移到数组末尾,所以是要注意是移动,而不是覆盖
刚开始dest 指向 -1的位置,表示非0区间还不存在,然后 cur 先向右移动,如果为 0 就继续向后;如果为非0,就让 dest 向后一位,然后和 cur 交换(因为 cur 遇到 0 不会改变其位置,所以在 dest 后面必定至少有一个 0 ,通过交换就能一直把 0 向后移)
总结后的代码如下:
💻代码实现:
1 |
|
复写零
✏️题目描述:
✏️示例:
传送门:复写零
题解:
双指针问题在解题通常要求就地操作,但往往很难立马想出来,所以可以先进行异地操作拓展思路。本题的异地操作就是额外创建一个数组,然后据题意操作即可,很简单就不过多讲解
💻第一步: 先找到最后一个复写的数
从前往后复写会发现会出现前一个数把后一个数覆盖的情况,所以我们尝试从后往前复写,发现是可行的,所以唯一的要点就是找到那个开始复写的数
如图为示例 1 找到最后一个复写的数,那么是如何找到的呢?没有过多的技巧,就是要通过不断地画图尝试找到规律
• cur 表示最后一个复写的数
• dest 表示是否为最后一个数
如果 cur 的值为 0 ,dest 向后两位;如果 cur 的值为非 0 ,dest 向后一位。那么就延伸出另一个问题,要是 dest 越界了怎么办?
💻第二步: 处理越界情况并从后往前复写
如果越界了,那么 dest 所在的位置一般默认为 0 ,但是在平台上越界就会报错,且这种情况的时候一定是因为 cur 最后一个复写数为 0 导致的
所以我们只需将 n-1 处赋为 0,dest -= 2,cur-- 即可回到最后一个复写数为非0的情况
接着再完成从后向前复写的操作即可
💻代码实现:
1 |
|
快乐数
✏️题目描述:
✏️示例:
传送门:快乐数
题解:
💻解读题意:
据题意快乐数的判断分为两种情况
是快乐数 ,以 1 循环(以示例 1 为例)
不是快乐数,自循环(以示例 2 为例)
看到这里显然需要我们判断是否成环,在链表部分了解过,应该使用快慢指针
💻细节问题:
如果题目没有说明只有两种情况,那是不是可能会出现第三种情况:线性死循环
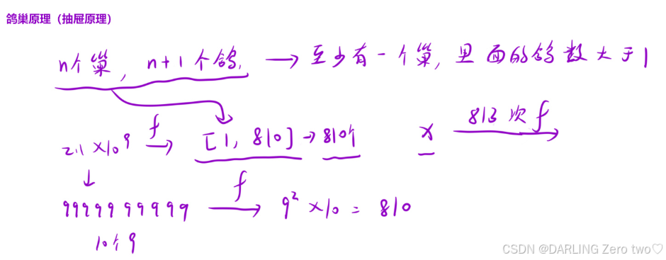
答案是不会的,以下是一些简单的证明,不影响本题,作了解即可
我们假设 n 可取的最大值为 9 × 10⁹ ,那么经过快乐数操作的数为 810,接下来无论进行多少次操作都是在[1,810]里的数,那么在经过大于 810 次操作后,根据鸽巢原理,必然会有重复,也就是成环,所以第三种情况不可能存在
💻代码实现:
1 |
|
盛最多水的容器
✏️题目描述:
✏️示例:
传送门:盛最多水的容器
题解:
看到这道题一般最先想到的是用两层for循环暴力枚举,但在本题会超时,时间复杂度为 O(n²),所以本题的思路是尽量把时间复杂度降为O(n)
尝试减少枚举数量来降低时间复杂度,本题求的是体积,所以我们可以在标记开头和结尾的下标为 left 和 right
v 为体积,h 为高度,w 为宽度,可以发现在取两边的数计算宽度时,先固定一个不动,然后另一个逐渐缩小宽度,小的那个数缩小之后算出来的体积永远是小的,所以我们可以通过不断舍掉小的那个数缩小宽度,然后得出多个体积数,找出里面最大的那个
通过这种方式减少了不必要的枚举,降低了时间复杂度,只需遍历一遍数组就能得出最大的体积
💻代码实现:
1 |
|






































